Distanz-Rechner.de verwendet einen Algorithmus zur Berechnung einer so genannten »Orthodrome«. Ein alternativer Begriff ist auch Geodäte (geodätische Linie). Im Fall von distanz-rechner.de handelt es sich um eine Orthodrome auf dem Ellipsoid WGS-84. Dieses ist das gleiche Ellipsoid wie es auch von GPS verwendet wird.
Bei einer Orthodrome handelt es sich um die kürzest-mögliche Verbindung zweier Punkte auf der Oberfläche eines Körpers, hier auf dem Ellipsoid (hier: WGS-84).

Durch die Berechnung der Entfernung auf dem Ellipsoid ist distanz-rechner.de genauer als andere Entfernungsrechner (die in der Regel die einfachere Berechnung auf der Kugeloberfläche vornehmen. Trotz der sehr guten Approximation ist und bleibt das Ergebnis mit einer gewissen Restunsicherheit behaftet und kann von den Entfernungen in der Realität abweichen. Daher kann die exakte Richtigkeit des Ergebnisses nicht gewährleistet werden.

Geocoding

Bevor irgendwelche Berechnungen vorgenommen werden können, müssen ellipsoidische Koordinaten des Anfangs- und des Endpunktes der Orthodrome vorliegen. Bei der direkten Eingabe von geographischer Breite und Länge auf dem WGS-84-Ellipsoid oder bei der Standortbestimmungsfunktion des Browsers liegen diese bereits vor und können daher ohne weitere Schritte in die Berechnungen eingehen.
Bei der Eingabe einer Adresse hingegen müssen die Koordinaten erst gewonnen werden. Dies gehschieht unter Zuhilfenahme der Google™ Maps API. Durch geschickte Algorithmen und Datenbankabfragen werden so die Koordinaten zur Adresse ermittelt.
Dann kann jetzt mit der eigentlichen Berechnung der geodätischen Entfernung auf dem Ellipsoid begonnen werden.

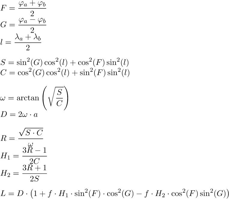
Formelapparat

In die Berechnungen fließ neben den eigentlichen Koordinaten von Start- und Endpunkt (φ, λ) der Verbindung zusätzlich die Datumsdefinitionen des Ellipsoids ein (große Halbachse a und reziproke Abplattung f). Sind alle diese Größen definiert, kann es losgehen.

Vollständiger Formelapparat

© 2012 - 2026 distanz-rechner.de | Changelog | Kontakt